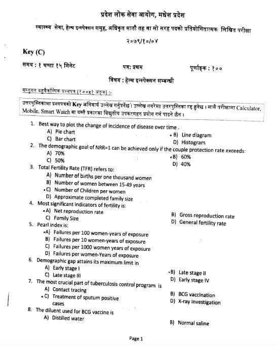
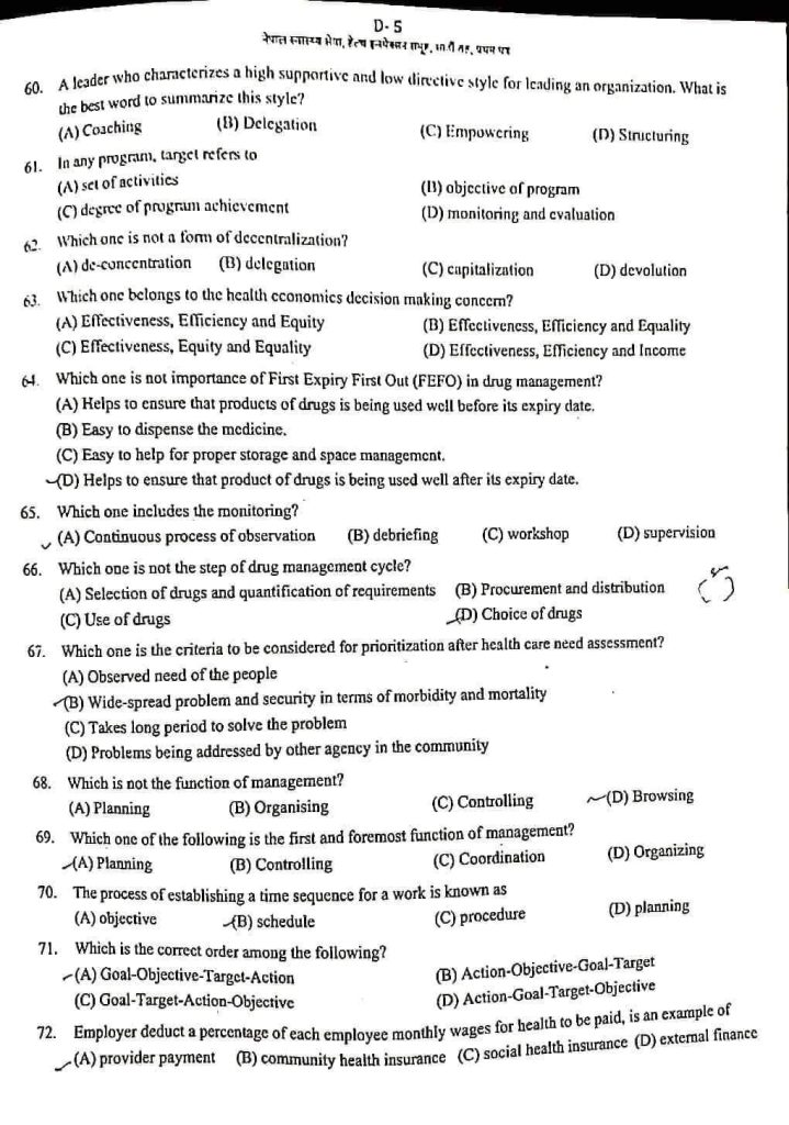
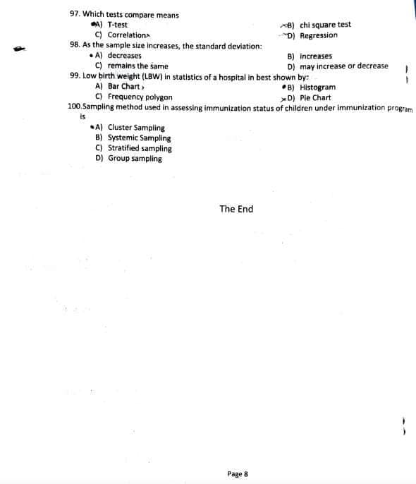
PHO Loksewa Past Question collectionS August 6, 2025August 6, 2025 Merohealthline 683 Download PHO loksewa Past Loksewa Questions collections from here